Lewis Dot Structure For C2f2 - Rtbookreviews Forums
This video shows you how to draw the lewis dot structure for c2f2 the easy way. The structure on the right is the lewis electron structure, or lewis structure, for h 2 o. With two bonding pairs and two lone pairs, the oxygen atom has now completed its octet.
Learn how to draw the lewis structure of carbon dioxide and understand its role as a lewis acid in this interactive tutorial. Get the free lewis structure finder widget for your website, blog, wordpress, blogger, or igoogle. Find more chemistry widgets in wolfram|alpha. To draw the lewis structure of an atom, write the symbol of the atom and draw dots around it to represent the valence electrons. Note that hydrogen is often shown in both. Draw the lewis dot structure of a given molecule or ion. Draw resonance structures of some molecules.
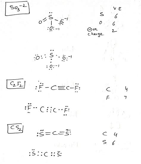
Note that hydrogen is often shown in both. Draw the lewis dot structure of a given molecule or ion. Draw resonance structures of some molecules. Assign formal charge to an atom in a dot structure. We can illustrate the formation of a water molecule from two hydrogen atoms and an oxygen atom using lewis dot symbols: The structure on the right is the lewis electron. Lewis dot structure of c 2 f 2 alternatively a dot method can be used to draw the lewis structure of c 2 f 2 calculate the total valence electrons in the molecule. Lewis structure of ch2f2 contains a single bond between the carbon (c) & hydrogen (h) atoms as well as between the carbon (c) & fluorine (f) atoms. A lewis symbol consists of an elemental symbol surrounded by one dot for each of its valence electrons: Shows the lewis symbols for the elements of the third. Steps of drawing ch2f2 lewis structure. Find the total valence electrons in ch2f2 molecule.
๐ Related Articles You Might Like:
Hibellanicole's Must-Have Travel Essentials For Comfort And Style Tryst.ljnk: The Ultimate SEO Tool That Will Make Your Competitors Jealous Hoofprints To Happiness: Find Your Dream Horse CompanionThe structure on the right is the lewis electron. Lewis dot structure of c 2 f 2 alternatively a dot method can be used to draw the lewis structure of c 2 f 2 calculate the total valence electrons in the molecule. Lewis structure of ch2f2 contains a single bond between the carbon (c) & hydrogen (h) atoms as well as between the carbon (c) & fluorine (f) atoms. A lewis symbol consists of an elemental symbol surrounded by one dot for each of its valence electrons: Shows the lewis symbols for the elements of the third. Steps of drawing ch2f2 lewis structure. Find the total valence electrons in ch2f2 molecule. In order to find the total valence electrons in a ch2f2 molecule, first of all. In the lewis structure of the molecule, valence electrons are represented as dots. The important conditions for the lewis structures are that every combining atom has to. Finding the number of valence electrons for a molecule. For the ch2f2 structure use the. Read this article on ch2f2 to find out its lewis structure, hybridization, molecular geometry, and shape. Difluoromethane finds extensive use as a coolant and.
๐ธ Image Gallery
Shows the lewis symbols for the elements of the third. Steps of drawing ch2f2 lewis structure. Find the total valence electrons in ch2f2 molecule. In order to find the total valence electrons in a ch2f2 molecule, first of all. In the lewis structure of the molecule, valence electrons are represented as dots. The important conditions for the lewis structures are that every combining atom has to. Finding the number of valence electrons for a molecule. For the ch2f2 structure use the. Read this article on ch2f2 to find out its lewis structure, hybridization, molecular geometry, and shape. Difluoromethane finds extensive use as a coolant and.
In the lewis structure of the molecule, valence electrons are represented as dots. The important conditions for the lewis structures are that every combining atom has to. Finding the number of valence electrons for a molecule. For the ch2f2 structure use the. Read this article on ch2f2 to find out its lewis structure, hybridization, molecular geometry, and shape. Difluoromethane finds extensive use as a coolant and.
๐ Continue Reading:
Elevate Your Style With Avijustfeet: The Stylish Footwear You Can't Miss In Memoriam: A Life Cut Short, A Legacy That Lives OnDifluoromethane finds extensive use as a coolant and.