How Do You Find The Derivative Of A Fraction - Rtbookreviews Forums
Webthe derivative of a rational function may be found using the quotient rule: Webthe derivative tells us the slope of a function at any point. There are rules we can follow to find many derivatives.
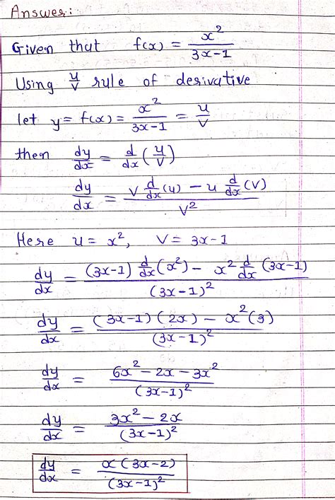
Type in any function derivative to get the solution, steps and graph Webbut it can also be solved as a fraction using the quotient rule, so for reference, here is a valid method for solving it as a fraction. Let $f(x) = \frac{\sqrt 2}{t^7}$ let the numerator. Weblet us find a derivative! To find the derivative of a function y = f(x) we use the slope formula: Slope = change in y change in x = δyδx. And (from the diagram) we see that:
To find the derivative of a function y = f(x) we use the slope formula: Slope = change in y change in x = δyδx. And (from the diagram) we see that: Webfor an equation beginning \ (y =\), the rate of change can be found by differentiating \ (y\) with respect to \ (x\). In its notation form this is written as \ (\frac { {dy}} { {dx}}\). Webtreating derivatives as fractions is just as dangerous as treating good old fractions as fractions. Just like with differentials, doing a manipulation like. Webcourses on khan academy are always 100% free. Start practicing—and saving your progress—now: Webif you're behind a web filter, please make sure that the domains *. kastatic. org and *. kasandbox. org are unblocked. Khanmigo is now free for all us educators! Looking at the product.
🔗 Related Articles You Might Like:
Hibellanicole's Tips For Staying Fit And Fabulous At Any Age A Life Cut Short: Parker Kohl's Legacy Lives On Through Obituaries Nebraska: The Secret To Navigating Nebraska's Vast LandscapesWebtreating derivatives as fractions is just as dangerous as treating good old fractions as fractions. Just like with differentials, doing a manipulation like. Webcourses on khan academy are always 100% free. Start practicing—and saving your progress—now: Webif you're behind a web filter, please make sure that the domains *. kastatic. org and *. kasandbox. org are unblocked. Khanmigo is now free for all us educators! Looking at the product. Webin this video i go over a couple of example questions finding the derivative of functions with fractions in them using the power rule. Webthis calculus video tutorial explains how to find the derivative of rational functions. It explains how to use the power rule, chain rule, and quotient rule. Webi am really struggling with a highschool calculus question which involves finding the derivative of a function using the first principles. The question is as follows:. Webfinding the derivative of a fraction where your x variable is the denominator and the constant as the numerator. Webhere we use the known power rule for y = x2 y = x 2 to find the derivative of its inverse function, y = x−−√ = x1/2 y = x = x 1 / 2. This general idea recurs in later. Webwe can use a formula to find the derivative of \(y=\ln x\), and the relationship \(log_bx=\frac{\ln x}{\ln b}\) allows us to extend our differentiation formulas.
📸 Image Gallery
Webif you're behind a web filter, please make sure that the domains *. kastatic. org and *. kasandbox. org are unblocked. Khanmigo is now free for all us educators! Looking at the product. Webin this video i go over a couple of example questions finding the derivative of functions with fractions in them using the power rule. Webthis calculus video tutorial explains how to find the derivative of rational functions. It explains how to use the power rule, chain rule, and quotient rule. Webi am really struggling with a highschool calculus question which involves finding the derivative of a function using the first principles. The question is as follows:. Webfinding the derivative of a fraction where your x variable is the denominator and the constant as the numerator. Webhere we use the known power rule for y = x2 y = x 2 to find the derivative of its inverse function, y = x−−√ = x1/2 y = x = x 1 / 2. This general idea recurs in later. Webwe can use a formula to find the derivative of \(y=\ln x\), and the relationship \(log_bx=\frac{\ln x}{\ln b}\) allows us to extend our differentiation formulas. Websince you are asked to find the concavity of the ellipse at a point, we need the second derivative, which can be obtained by differentiating our first derivative.
Webthis calculus video tutorial explains how to find the derivative of rational functions. It explains how to use the power rule, chain rule, and quotient rule. Webi am really struggling with a highschool calculus question which involves finding the derivative of a function using the first principles. The question is as follows:. Webfinding the derivative of a fraction where your x variable is the denominator and the constant as the numerator. Webhere we use the known power rule for y = x2 y = x 2 to find the derivative of its inverse function, y = x−−√ = x1/2 y = x = x 1 / 2. This general idea recurs in later. Webwe can use a formula to find the derivative of \(y=\ln x\), and the relationship \(log_bx=\frac{\ln x}{\ln b}\) allows us to extend our differentiation formulas. Websince you are asked to find the concavity of the ellipse at a point, we need the second derivative, which can be obtained by differentiating our first derivative.
📖 Continue Reading:
St. John's Hac: A Haven For Wildlife Hibellanicole's Essential Guide To Networking And Building ConnectionsWebhere we use the known power rule for y = x2 y = x 2 to find the derivative of its inverse function, y = x−−√ = x1/2 y = x = x 1 / 2. This general idea recurs in later. Webwe can use a formula to find the derivative of \(y=\ln x\), and the relationship \(log_bx=\frac{\ln x}{\ln b}\) allows us to extend our differentiation formulas. Websince you are asked to find the concavity of the ellipse at a point, we need the second derivative, which can be obtained by differentiating our first derivative.